厭氧氨氧化技術因其無需外加有機碳源、污泥產量低和無需曝氣,能大大減少污水處理的運行成本而受到廣泛關注. ANAMMOX雖然是一種高效、節能的生物脫氮技術,卻因為是自可養型生物而易受有機物影響.因此,ANAMMOX工藝多用來處理低碳氮比廢水.在有機物濃度較高時,ANAMMOX難以與快速增長的異養菌競爭,從而導致反應器脫氮效能下降.目前,關于厭氧氨氧化反應研究大多停留在實驗室條件下的小試實驗階段,并且多通過人工配水來完成.但實際上,工業廢水或生活污水中幾乎都含有不同濃度和種類的有機物.
目前,國內外就有機碳源對厭氧氨氧化代謝的影響做了大量的研究,主要存在兩種觀點:一種認為低濃度有機物存在時可促進厭氧氨氧化菌的活性,但有機物濃度高時,厭氧氨氧化菌活性大大降低;另外一種觀點認為,有機物存在下,厭氧氨氧化菌與反硝化菌競爭并優先利用有機碳源,代謝途徑表現多樣化. Yang等研究發現隨著COD負荷提高,當進水氨氮(NH4+-N)和亞硝酸鹽(NO2--N)濃度分別為189 mg˙L-1和85 mg˙L-1時,ANAMMOX反應在COD濃度高于237 mg˙L-1時完全停止. Sabumon等亦發現在COD存在情況下,反硝化反應更強于ANAMMOX,從而抑制ANAMMOX的活性. COD的添加會抑制ANAMMOX活性,當進水NH4+-N和NO2--N濃度均為70 mg˙L-1時,2 050.75 mg˙L-1和4 101.5 mg˙L-1的乙酸鹽會引起ANAMMOX活性分別抑制了22%和77%.相反地,有研究在添加乙酸鹽、丙酸鹽和葡萄糖(濃度均為1 mmol˙L-1)的批試實驗中發現ANAMMOX活性的增加,而在連續流實驗中,ANAMMOX活性卻降低. Chamchoi等通過碳氮比對ANAMMOX的影響研究發現,在進水NH4+-N和NO2--N濃度分別為40 mg˙L-1和50 mg˙L-1時,隨著碳氮比從0.9升高到2.0,ANAMMOX活性逐漸降低.在實際工程應用中,為使厭氧氨氧化菌的生長不受異養菌的影響,往往在其進水前設置好氧消化工序將廢水中的有機物去除,然而,實際中污水成分復雜使工藝運行不穩定導致有機物去除效果差,使得厭氧氨氧化系統容易受到有機物的影響.因此,有必要系統地考察有機物對厭氧氨氧化系統脫氮過程的影響.
本研究采用ASBR反應器,選取葡萄糖、蔗糖、乙酸鈉、檸檬酸三鈉這4種常見有機物,從NH4+-N、NO2--N、硝酸鹽氮(NO3--N)和總氮(TN)等的去除探討了不同濃度和種類的有機碳源短期變化對厭氧氨氧化菌的活性的影響和系統脫氮情況,以期為厭氧氨氧化工藝的實際應用提供理論和技術支持.
1 材料與方法
1.1 實驗裝置與方法
本實驗使用的裝置為有效容積為1.0 L的玻璃瓶,外置黑布,瓶口橡膠塞上開兩孔,分別用于攪拌和取樣(圖 1).為保證系統的密封性,取樣采用注射器進行抽取.反應器配置攪拌裝置維持轉速為80 r˙min-1.反應裝置放在恒溫水浴鍋中,溫度設為35℃.本實驗的水力停留時間為8 h,每隔0.5 h取一次樣進行水質分析,進水pH控制在7.5左右.

1.2 接種污泥與實驗用水
實驗用泥為穩定運行300余天的厭氧氨氧化活性污泥,污泥外觀呈紅色,大部分呈細小顆粒狀(d < 0.2 mm).污泥沉降性能良好,其對亞硝酸鹽氮和氨氮的去除率都達到99%以上.實驗過程污泥濃度(MLVSS)保持在750 mg˙L-1左右.實驗用水采用人工配水,模擬廢水水質:NaHCO3 1.5 g˙L-1,KH2PO4 0.02 g˙L-1,MgSO4˙7H2O 0.3 g˙L-1,CaCl2˙2H2O 0.056 g˙L-1,微量元素Ⅰ、Ⅱ各1 mL˙L-1. NH4Cl、NaNO2、有機物按需投加.其中微量元素Ⅰ:EDTA 5 g˙L-1,FeSO45 g˙L-1;微量元素Ⅱ:EDTA 5 g˙L-1,ZnSO4˙4H2O 430 mg˙L-1,MnCl2˙4H2O 990 mg˙L-1,H3BO4 14 mg˙L-1,CuSO4˙5H2O 250 mg˙L-1,Na2Mo4˙2H2O 220 mg˙L-1,Na2SeO4˙10H2O 210 mg˙L-1,NiCl2˙6H2O 190 mg˙L-1.
實驗進水NH4+-N和NO2--N濃度分別為80 mg˙L-1和120 mg˙L-1.考察4種有機物葡萄糖、蔗糖、乙酸鈉、檸檬酸三鈉在COD濃度梯度0、20、40、80、120、200 mg˙L-1時對厭氧氨氧化反應的影響.
1.3 最大比厭氧氨氧化速率的確定
由于實驗過程沒有氧氣,因此以氨氮降解速率評價厭氧氨氧化活性.反應開始后定時取樣,根據氨氮濃度變化曲線確定其降解速率最快區間,得出最大斜率,再與系統中的污泥濃度X之比即得氨氮的最大比反應速率Vmax[mg˙(g˙h)-1].
1.4 測定項目和方法
氨氮采用納氏試劑分光光度法;亞硝酸鹽采用N-1-萘基-乙二胺光度法;硝酸鹽采用紫外分光光度法[16];VSS采用重量法測定;pH值的測定采用玻璃電極法.總氮采用式(1)進行計算:

容積基質氮去除率[volume substrate nitrogen removal rate,NRR,kg˙(m3˙d)-1]采用式(2)進行計算:

2 結果與討論
2.1 不同有機物對厭氧氨氧化脫氮的影響
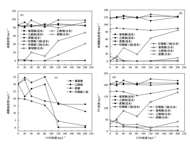
圖 2為不同有機物濃度在0~200 mg˙L-1范圍內,系統NH4+-N、NO2--N、NO3--N和TN的變化曲線.當葡萄糖濃度達到120 mg˙L-1時出水NH4+-N和NO2--N分別為48.42 mg˙L-1和62.56 mg˙L-1,去除率不足50%,同時造成總氮的去除率下降41%左右,并沒有出現ANAMMOX菌與異養反硝化菌的競爭關系.這可能是由于反應器中反硝化菌的本底含量較少.而對于其他3種有機物,濃度為120 mg˙L-1條件下,NH4+-N和NO2--N仍有很高的去除率(86%和94%).但是,由于異養反硝化菌的存在,NO3--N的累積量明顯減少,導致TN去除率的提高.當有機物濃度提高到200 mg˙L-1時,結果顯示,投加乙酸鈉時,系統NH4+-N的去除率從約100%降到58%,有機物的存在抑制了ANAMMOX菌的活性導致NH4+-N的去除率下降.而NO2--N和NO3--N的去除并未受到影響.

圖 2 不同有機物厭氧氨氧化系統NH4+-N、NO2--N、NO3--N和TN的變化曲線
反硝化菌生長速率遠快于ANAMMOX菌,在高濃度有機物存在的環境下,ANAMMOX菌在競爭電子受體亞硝酸鹽中處于劣勢,因此NO2--N和NO3--N仍有很高的去除率.乙酸鈉、蔗糖和檸檬酸三鈉對NH4+-N的降解都有一定的促進作用,對NO2--N的去除幾乎沒有影響;投加了蔗糖和檸檬酸三鈉后厭氧氨氧化系統TN的去除率提高了12%左右,從NO3--N的積累[圖 2(c)]可以看出,蔗糖和檸檬酸三鈉促進了異養反硝化反應,使NO3--N的累積量減少,致使系統出水TN濃度降低.
圖 3為最大比厭氧氨氧化速率(SAA)隨有機物濃度的變化曲線.在系統中投加不同的有機物,SAA存在一定的差別.投加葡萄糖后SAA迅速下降,當葡萄糖濃度為200 mg˙L-1時,SAA為0.38 mg˙(g˙h)-1,較不加葡萄糖時下降了84.2%,葡萄糖對ANAMMOX菌的活性抑制非常明顯.乙酸鈉對ANAMMOX菌的活性有一定促進作用,最大時SAA提高了26.1%,達到2.21 mg˙(g˙h)-1.蔗糖濃度低于40 mg˙L-1時,對ANAMMOX菌的活性幾乎沒有影響,保持在相對穩定的1.95 mg˙(g˙h)-1;繼續提高蔗糖濃度系統中有機物對SAA促進作用越來越明顯,當蔗糖濃度為80 mg˙L-1時,系統SAA提高了25.0%,達到最大的2.45 mg˙(g˙h)-1.少量的檸檬酸三鈉對ANAMMOX菌的活性有少量的促進作用,最大時氨氧化速率提高了9.1%;檸檬酸三鈉濃度超過80 mg˙L-1時ANAMMOX菌的活性出現抑制,繼續提高COD濃度,SAA沒有明顯變化,保持在2.65 mg˙(g˙h)-1左右.乙酸鈉、蔗糖和檸檬酸三鈉在濃度為80 mg˙L-1時SAA都達到最大,較不加有機物時分別增加了0.44、0.49和0.25 mg˙(g˙h)-1,而葡萄糖濃度為80 mg˙L-1時系統中SAA下降了0.67 mg˙(g˙h)-1.不同有機物對ANAMMOX菌的活性影響不一樣,對SAA的促進作用具體順序為:蔗糖 > 乙酸鈉 > 檸檬酸三鈉 > 葡萄糖.

圖 3 不同有機物對厭氧氨氧化活性的影響
2.2 不同有機物濃度下的厭氧氨氧化脫氮過程
2.2.1 葡萄糖作用下的厭氧氨氧化脫氮過程
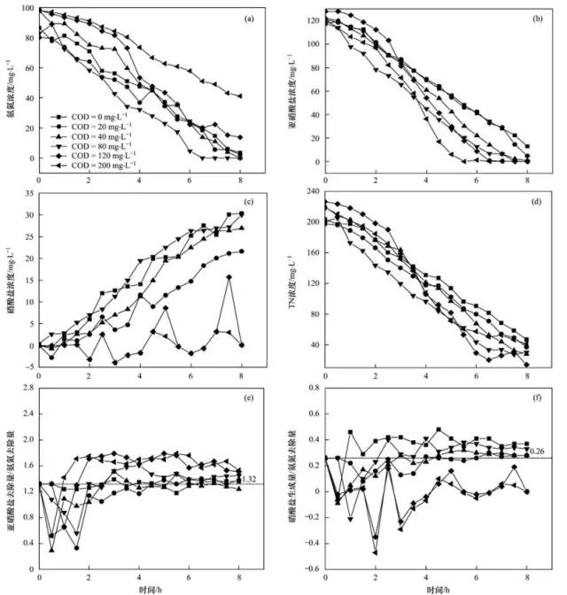
葡萄糖對ANAMMOX系統脫氮過程的影響如圖 4所示.從中可知,在實驗初始階段(不加有機物),NH4+-N和NO2--N去除率均高于99%,TN去除率為84%.當葡萄糖濃度為20 mg˙L-1時,NH4+-N和NO2--N仍有較高的去除率,均高于90%.實驗初始階段和葡萄糖濃度為20 mg˙L-1時系統的SAA分別為14.39 mg˙(g˙h)-1和12.44 mg˙(g˙h)-1(圖 3),少量葡萄糖的加入對系統ANAMMOX菌的活性影響不大.當葡萄糖濃度大于120 mg˙L-1時NH4+-N、NO2-和TN的去除率明顯下降;當葡糖糖濃度為200 mg˙L-1時,NH4+-N的平均去除率只有17%, 系統TN去除率不足20%,SAA只有2.30 mg˙(g˙h)-1,ANAMMOX菌降解NH4+-N的總體活性損失接近80%,系統ANAMMOX過程被嚴重抑制.

圖 4 葡萄糖作用下厭氧氨氧化脫氮過程
NO2--N和NH4+-N按比例穩定的去除是ANAMMOX工藝穩定運行的關鍵. 圖 4(e)中,由NO2--N與NH4+-N去除量的比值可知,系統中反應分為兩個部分:第一個部分比值先降低后升高并逐漸接近1.32,且隨著COD濃度的增加第一部分持續時間越來越長;第二部分比值繼續增大高出理論值的過程,在此過程中亞硝酸鹽氮去除量增加或氨氮的去除量減少.而生成的NO3--N與NH4+-N去除量的比值[圖 4(f)]有類似的變化趨勢.推測原因可能是系統中存在少量反硝化菌代謝NO3--N生成中間產物NO2--N補充了ANAMMOX的電子受體,從而降低了兩者比例,與此相對應的NO3--N的累積量[圖 4(c)]隨著葡糖糖濃度的增加迅速降低.
劉金苓等的研究向培養成熟的自養厭氧氨氧化污泥中添加少量葡萄糖能促進NH4+-N和NO2--N的去除.李澤兵等在將異養反硝化菌和厭氧氨氧化菌混合培養過程中,葡萄糖表現出的最大抑制作用僅為6.49%.楊洋等在厭氧氨氧化系統中分別加入了少量(20 mg˙L-1)和大量(200 mg˙L-1)葡萄糖.結果表明, 少量有機物的加入對污泥的厭氧氨氧化活性影響不大,而大量有機物的加入在明顯抑制其厭氧氨氧化活性的同時, 使污泥表現出較高的反硝化活性.朱靜平等在ASBR反應器內研究了有機碳源條件下ANAMMOX反應器中的主要反應,結果表明有機碳源存在的條件下,ANAMMOX反應器內存在著自養ANAMMOX反應和異養反硝化反應的競爭,當有機碳源濃度較低時ANAMMOX反應為主要反應,而隨著有機碳源濃度的提高,異養的反硝化菌的競爭優勢逐漸提高,反應器內的反硝化反應活性也越高.
在本實驗中,低濃度葡萄糖(80 mg˙L-1)對系統脫氮性能的影響不大,這可能是由于反應器中的異養反硝化菌數量較少,不能有效地進行反硝化作用.而且,當葡糖糖濃度低于80 mg˙L-1時,NH4+-N和NO2--N按比例穩定的去除,ANAMMOX能穩定運行.當葡萄糖濃度高于80 mg˙L-1時,兩者比值波動較大ANAMMOX運行不穩定.
2.2.2 乙酸鈉作用下的厭氧氨氧化脫氮過程
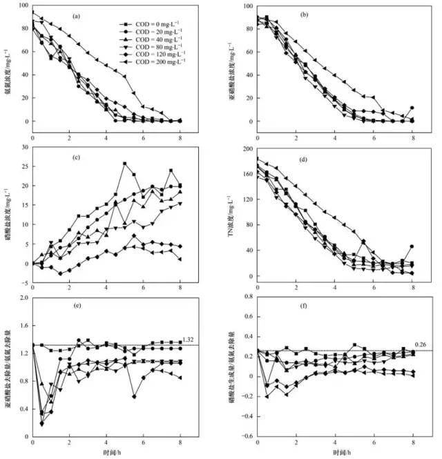
乙酸鈉對ANAMMOX系統脫氮過程的影響如圖 5所示.從中可知,NH4+-N和NO2--N濃度的減少隨時間變化呈較好的線性關系.低濃度乙酸鈉(120 mg˙L-1)環境下NH4--N、NO2--N和TN的去除率逐漸提高.乙酸鈉濃度為120 mg˙L-1時NH4+-N去除率達到最大的99.1%.不斷提高乙酸鈉濃度的過程中,NO2--N的降解速率明顯加快,NO3--N的生成量卻逐漸減少,乙酸鈉濃度為120 mg˙L-1時,反應器中NO3--N的累積量僅有0.07 mg˙L-1;由于NO2--N降解速率加快和NO3--N生成量的減少,TN的降解速率相應地也有所提升,去除率達到最大93%,出水TN的濃度從46.72 mg˙L-1降到13.87 mg˙L-1.當乙酸鈉濃度為200 mg˙L-1時,NH4+-N的去除率降低為76%,而NO2--N和NO3--N一直保持較高的去除率,但由于出水NH4+-N濃度的提高導致TN的去除率降低至79%.

圖 5 乙酸鈉作用下厭氧氨氧化脫氮過程
乙酸鈉濃度不同,SAA存在一定差別(圖 3),系統的SAA分別為1.77、1.69、2.13、2.21、2.08和1.30 mg˙(g˙h)-1.當乙酸鈉濃度為200 mg˙L-1時,最大比氨氧化速率下降了0.47 mg˙(g˙h)-1,此時ANAMMOX菌活性被高濃度乙酸鈉抑制,并最終導致TN的去除率下降.實驗結果顯示,一定濃度的乙酸鈉促進了ANAMMOX,隨著投加乙酸鈉濃度的增加,反硝化反應不斷加強從而抑制了ANANMMOX反應.
如圖 5(e)所示,NO2--N與NH4+-N去除量的比值先降低后升高,逐漸接近理論值1.32最后又偏離理論值;而NO3--N與NH4+-N的比值也有類似的趨勢.隨著有機物濃度的提高NO2--N與NH4+-N的比值先降低的過程漸漸縮短最后大于理論值1.32,相反NO3--N與NH4+-N的比值降低的過程卻不斷延長最后小于理論值0.26.結合系統的脫氮過程,NH4+-N的降解速率在開始2 h內最快,隨著反應的進行速率逐漸降低;相反地NO2--N的降解速率在開始的2 h內比較緩慢然后才逐漸加快.可能的原因是系統中進行ANAMMOX的同時還發生了異養反硝化反應, 反硝化菌以NO3--N進行反硝化生成NO2--N補充了ANAMMOX過程的電子受體,從而促進了ANAMMOX反應.
有研究表明乙酸鹽是可被ANAMMOX菌利用的有機物,可引發ANAMMOX菌與反硝化菌之間的互生促進作用.張少輝等[24]通過連續流實驗和血清瓶批次實驗研究了乙酸鹽條件下的ANAMMOX菌代謝特性,發現乙酸鹽與NH4+-N的比值對ANAMMOX過程影響顯著:C/N較低時,乙酸鹽能夠同時促進ANAMMOX和反硝化;C/N較高時,乙酸鹽強化反硝化過程明顯.田文婷等[25]比較了5個不同C/N條件下的脫氮效果,結果發現,C/N為0.58時脫氮效果最佳.賴楊嵐等[26]也發現,C/N為0.64,TN去除率達到最高.本實驗在乙酸鈉濃度為120 mg˙L-1,相當于C/N質量比為0.6時,兩種過程共同作用效果最佳,NH4+-N、NO2--N和TN的去除率分別為96%,100%和93%.乙酸鈉濃度的提高不但未抑制ANAMMOX反應的進行,反而促進了其對NH4+-N的去除,且在一定范圍內濃度越高促進作用越明顯.
2.2.3 蔗糖作用下厭氧氨氧化脫氮過程
蔗糖對ANAMMOX系統脫氮過程的影響如圖 6所示.從中可知,蔗糖對系統脫氮性能有一定的促進作用,當蔗糖濃度低于120 mg˙L-1時,NH4+-N、NO2--N和TN的降解速率都呈上升趨勢,去除率分別保持在99%、98%和80%左右.當蔗糖濃度在200 mg˙L-1時,NH4+-N、NO2--N和TN的降解速率開始下降,此時,ANAMMOX菌活性開始出現抑制,系統脫氮性能也開始降低.隨著蔗糖濃度的提高,反應器中NO3--N的濃度不斷減少,NO2--N與NH4+-N的比值也低于理論值,反硝化反應逐漸增強.

圖 6 蔗糖作用下厭氧氨氧化脫氮過程
從圖 6(e)、6(f)中可以看出當蔗糖濃度大于40 mg˙L-1時,NO2--N與NH4+-N去除量的比值先升高后降低最后接近理論值,而NO3--N生成量與NH4+-N去除量的比值正好相反先降低后升高然后逐漸接近于理論值,而且NO2--N與NH4+-N的比值先升高或NO3--N與NH4+-N的比值先降低的過程隨著蔗糖濃度的升高逐漸變短.這一過程與之前葡萄糖和乙酸鈉不同,可能是因為蔗糖更容易被反硝化菌代謝.隨著反應的進行,系統中有機物被消耗,反硝化作用受到抑制,NO2--N去除量/NH4+-N去除量與NO3--N產生量/NH4+-N去除量的值逐漸接近理論值.
2.2.4 檸檬酸三鈉作用下厭氧氨氧化脫氮過程
圖 7所示為檸檬酸三鈉對ANAMMOX系統脫氮過程的影響.檸檬酸三鈉作為有機碳源時系統能穩定運行.檸檬酸三鈉濃度小于200 mg˙L-1時,其對系統脫氮性能幾乎不產生影響.當檸檬酸三鈉濃度為120 mg˙L-1時,出水TN濃度只有4.36 mg˙L-1,TN去除率達到最高的95%.當檸檬酸三鈉濃度為200 mg˙L-1時系統脫氮性能下降,此時,NH4+-N、NO2--N和TN的去除率雖然沒有明顯變化,但可以看出NH4+-N、NO2--N和TN的去除速率明顯下降.

圖 7 檸檬酸三鈉作用下厭氧氨氧化脫氮過程
反應開始時系統中NH4+-N降解速率相對較高,同時NO2--N與NH4+-N比值低于理論值1.32[圖 7(e)],這是因為檸檬酸三鈉促進了ANAMMOX反應.從圖 3中也可以看出檸檬酸三鈉濃度小于80 mg˙L-1時,系統中SAA是逐漸升高的過程.當檸檬酸三鈉濃度大于80 mg˙L-1時,系統中的NO3--N累積量逐漸減少,NO3--N與NH4+-N的比值也低于理論值0.26,此時系統中反硝化反應增強并抑制ANAMMOX菌的活性,SAA開始下降. Kartal等揭示了在小分子有機酸存在條件下ANAMMOX的代謝途徑具有多樣性.本實驗所用ANAMMOX菌在乙酸鈉存在時活性最大上升了26.1%,而檸檬酸三鈉存在時活性最大上升了9.1%.
2.3 有機碳源對厭氧氨氧化系統脫氮效能(NRR)的影響
反應中不同種類、不同濃度的有機物與容積基質氮去除速率的關系如圖 8所示.低濃度葡萄糖(20 mg˙L-1)對系統NRR影響較小;隨著葡萄糖濃度逐漸增加,系統NRR迅速下降,當葡萄糖濃度為200 mg˙L-1時NRR只有0.17 kg˙(m3˙d)-1,下降了72.9%,葡萄糖對系統脫氮效能影響較大.系統對乙酸鈉有一段時間的適應期,在此期間系統的NRR基本維持在0.60 kg˙(m3˙d)-1;當乙酸鈉濃度為40 mg˙L-1時,NRR達到最大的0.69 kg˙(m3˙d)-1,提高了13.2%,此階段乙酸鈉促進ANAMMOX系統的脫氮效能.蔗糖對系統脫氮效能的影響比較明顯,當蔗糖濃度為120 mg˙L-1時,系統NRR達到最大的0.78 kg˙(m3˙d)-1,較空白提高了30.7%;繼續增加蔗糖濃度時,系統NRR開始下降,蔗糖濃度為200 mg˙L-1時,NRR僅有0.48 kg˙(m3˙d)-1.檸檬酸三鈉對系統脫氮效能影響相對較小,當檸檬酸三鈉濃度為20 mg˙L-1時有一定程度的促進,NRR從0.79 kg˙(m3˙d)-1增加到0.80 kg˙(m3˙d)-1;隨著檸檬酸三鈉濃度的上升系統NRR趨于平緩,穩定在0.7 kg˙(m3˙d)-1左右.從圖 8中可以看出不同有機物對系統的脫氮效能的影響:葡萄糖 > 蔗糖 > 乙酸鈉 > 檸檬酸三鈉.柴油發電機組

圖 8 有機物對厭氧氨氧化脫氮效能的影響
2.4 有機碳源作用下厭氧氨氧化系統pH的變化
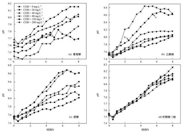
圖 9給出了不同有機物作用下ANAMMOX過程中的pH值變化曲線.不依賴于有機物種類,隨著反應的進行,系統pH值不斷上升.隨著葡萄糖濃度的增加,ANAMMOX被抑制,反應器中pH值的增量逐漸減小.投加檸檬酸三鈉的反應器中pH值增量幾乎不變,有機物對ANAMMOX影響較小.而有機物濃度高于120 mg˙L-1時,投加乙酸鈉和蔗糖的反應器中pH值迅速升高.乙酸鈉和蔗糖濃度達到200 mg˙L-1時,反應器出水pH值分別高達8.5和8.8,這是由于ANAMMOX與反硝化共同作用的結果.此時,反應器中ANAMMOX過程出現抑制現象.

圖 9 不同有機物作用下厭氧氨氧化系統pH值的變化曲線
ANAMMOX及異養反硝化過程都是耗酸反應,最終導致pH值升高.當系統反應結束時,pH值變化曲線出現折點a[圖 9(b)],a點恰好為圖 5(a)、5(b)中NH4+-N和NO2--N消耗殆盡的點.而在此之前,pH值變化曲線上出現了一個拐點b,此點出現時NO3--N累積量減少[圖 5(c)],系統內反硝化是以亞硝酸鹽為電子受體,由于亞硝酸鹽型反硝化速度比硝酸鹽型反硝化要快,所以此階段pH值升高速度較前階段變快,使pH值變化曲線斜率增加. ANAMMOX反應的最適pH值范圍為7.8~8.1,高pH值條件下,反應器中游離氨濃度的增加會抑制ANAMMOX菌的活性.具體參見污水寶商城資料或http://www.dowater.com更多相關技術文檔。
3 結論
(1) 當葡萄糖濃度為200 mg˙L-1時,厭氧氨氧化活性下降84.2%;當乙酸鈉濃度低于120 mg˙L-1時不但不會抑制厭氧氨氧化菌的活性,還在一定程度上促進了厭氧氨氧化反應的進行;蔗糖對厭氧氨氧化的促進作用與乙酸鈉類似,當濃度為80 mg˙L-1時,最大比厭氧氨氧化速率提高了25.0%;檸檬酸三鈉對厭氧氨氧化反應幾乎沒有影響.
(2) 有機碳源對厭氧氨氧化的促進作用由大到小為:蔗糖>乙酸鈉>檸檬酸三鈉>葡萄糖.有機碳源作用下,厭氧氨氧化反應可協同反硝化反應去除系統中的硝態氮,提高了系統總氮的去除率.